近日,食品科学与工程学院张美莉教授课题组在Nature旗下NPJ系列子刊《npj Science of Food》(中科院一区Top)发表题为“Metabolomics analysis of antioxidant and lipid-lowering activities, colonic fermentation properties of quinoa bran polyphenol extract during in vitro digestion”的研究成果,2022级博士研究生孙敏君为论文第一作者,张美莉教授为通讯作者。该项研究工作得到了国家重点研发计划(2023YFD1600704)的资助。

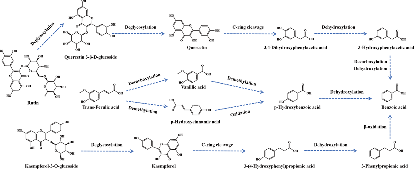
藜麦是一种营养价值丰富的谷物,其副产物麸皮也含有多种活性物质。该项研究采用体外消化发酵方法,探究了不同溶剂(水、50%乙醇、低共熔溶剂(DESs))提取对藜麦麸皮多酚组分、抗氧化及降脂活性以及发酵代谢物的影响。结果表明,藜麦麸皮多酚提取物的主要活性化合物为黄酮类、肉桂酸及其衍生物。不同溶剂提取的藜麦麸皮多酚提取物均表现出较强的抗氧化和降脂活性,且活性经体外消化后有所增强。代谢组学分析显示,与水提多酚相比,DESs和50%乙醇溶剂提取可使胆汁酸产量提升约两倍,同时显著促进二肽和多不饱和脂肪酸的生成。这些代谢物能够保护肠道屏障并调节代谢-免疫稳态。DESs可作为藜麦麸皮多酚的适宜提取溶剂,本研究为藜麦麸皮多酚的功能研究奠定了基础。这一研究提示了杂粮副产物的高值化利用是未来功能性食品开发的重要方向。
